Miniature hexapod; BLDC motor; 5 kg payload; 20 mm/s maximum velocity; 0.5 m cable length. Connecting cables are not included in the scope of delivery and must be ordered separately.
H-811.I2 Miniature Hexapod
Fast, Compact, and Highly Precise
- Travel ranges to ±17 mm / ±21°
- Payload to 5 kg
- Repeatability to ±0.06 µm
- Velocity to 20 mm/s
- Vacuum model available







Application fields
Thanks to its small footprint and its proven reliability in applications with high numbers of cycles, the H-811 is typically employed in photonics and in precision assembly. In such areas, it contributes to boosting the productivity of complex manufacturing processes and measuring procedures.
High dynamics combined with extreme reliability
The parallel-kinematic arrangement enables the hexapod to perform motion in 6 axes in an extremely compact design. Thanks to the use of brushless DC motors and its stiff mechanical design, the H-811 offers the dynamics required for active alignment applications, even if external interference (e.g., in the case of gluing processes) occurs. Extensive software tools provide support by simplifying the system tuning and making automatic routines available for alignment to an external analog control signal.
Motion simulation for protecting the overall system
The PIVirtualMove software, which can be downloaded free of charge, simulates the travel range, the alignment, and the permissible forces and torques of the H-811 to facilitate an optimum system configuration. In this context, both the chosen center of rotation and the center of gravity of the load are taken into consideration.
Work and tool coordinate systems and an emulation tool are included in the free software package belonging to the scope of delivery of the hexapod controller. The tools provided help to protect critical components such as optical or photonic parts.
Specifications
Specifications
| Motion | H-811.I2 | Tolerance |
|---|---|---|
| Active axes | X ǀ Y ǀ Z ǀ θX ǀ θY ǀ θZ | |
| Travel range in X | ± 17 mm | |
| Travel range in Y | ± 16 mm | |
| Travel range in Z | ± 6.5 mm | |
| Rotation range in θX | ± 10 ° | |
| Rotation range in θY | ± 10 ° | |
| Rotation range in θZ | ± 21 ° | |
| Maximum velocity in X | 20 mm/s | |
| Recommended velocity in X | 10 mm/s | |
| Maximum velocity in Y | 20 mm/s | |
| Recommended velocity in Y | 10 mm/s | |
| Maximum velocity in Z | 20 mm/s | |
| Recommended velocity in Z | 10 mm/s | |
| Maximum angular velocity in θX | 500 mrad/s | |
| Recommended angular velocity in θX | 250 mrad/s | |
| Maximum angular velocity in θY | 500 mrad/s | |
| Recommended angular velocity in θY | 250 mrad/s | |
| Maximum angular velocity in θZ | 500 mrad/s | |
| Recommended angular velocity in θZ | 250 mrad/s | |
| Positioning | H-811.I2 | Tolerance |
| Minimum incremental motion in X | 0.2 µm | typ. |
| Minimum incremental motion in Y | 0.2 µm | typ. |
| Minimum incremental motion in Z | 0.08 µm | typ. |
| Minimum incremental motion in θX | 2.5 µrad | typ. |
| Minimum incremental motion in θY | 2.5 µrad | typ. |
| Minimum incremental motion in θZ | 5 µrad | typ. |
| Unidirectional repeatability in X | ± 0.15 µm | typ. |
| Unidirectional repeatability in Y | ± 0.15 µm | typ. |
| Unidirectional repeatability in Z | ± 0.06 µm | typ. |
| Unidirectional repeatability in θX | ± 2 µrad | typ. |
| Unidirectional repeatability in θY | ± 2 µrad | typ. |
| Unidirectional repeatability in θZ | ± 3 µrad | typ. |
| Backlash in X | 0.2 µm | typ. |
| Backlash in Y | 0.2 µm | typ. |
| Backlash in Z | 0.06 µm | typ. |
| Backlash in θX | 2 µrad | typ. |
| Backlash in θY | 2 µrad | typ. |
| Backlash in θZ | 4 µrad | typ. |
| Drive Properties | H-811.I2 | Tolerance |
| Drive type | Brushless DC motor | |
| Mechanical Properties | H-811.I2 | Tolerance |
| Stiffness in X | 0.7 N/µm | |
| Stiffness in Y | 0.7 N/µm | |
| Stiffness in Z | 8 N/µm | |
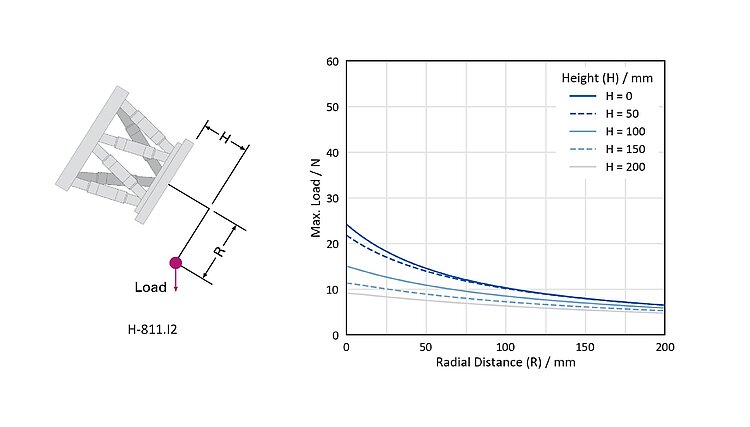
| Maximum load capacity, base plate in any orientation | 2.5 kg | |
| Maximum load capacity, base plate horizontal | 5 kg | |
| Maximum holding force, base plate in any orientation | 2.5 N | |
| Maximum holding force, base plate horizontal | 15 N | |
| Overall mass | 2.2 kg | |
| Material | Stainless steel, aluminum | |
| Miscellaneous | H-811.I2 | Tolerance |
| Operating temperature range | 0 to 50 °C | |
| Connector for data transmission | HD D-sub 78 (m) | |
| Connector for supply voltage | M12 4-pole (m) | |
| Cable length | 0.5 m | |
| Outer diameter power supply cable | 4.95 mm | |
| Minimum bending radius for fixed installation, power supply | 25 mm | |
| Outer diameter data transmission cable | 9.5 mm | |
| Minimum bending radius for fixed installation, data transmission | 95 mm | |
| Recommended controllers/drivers | C-887.5x |
The cables fixed to the H-811.I2 are 0.5 m long respectively.
The cables fixed to the H-811.I2 are not drag chain compatible.
Connecting cables are not included in the scope of delivery and must be ordered separately.
Ask about customized versions.
When measuring position specifications, typical velocity is used. The data is included in the delivery of the product in the form of a measurement report and is stored at PI.
The maximum travel ranges of the individual coordinates (X, Y, Z, θX, θY, θZ) are interdependent. The data for each axis shows its maximum travel range when all other axes are in the zero position of the nominal travel range and the default coordinate system is in use, or rather when the pivot point is set to 0,0,0.
At PI, technical data is specified at 22 ±3 °C. Unless otherwise stated, the values are for unloaded conditions. Some properties are interdependent. The designation "typ." indicates a statistical average for a property; it does not indicate a guaranteed value for every product supplied. During the final inspection of a product, only selected properties are analyzed, not all. Please note that some product characteristics may deteriorate with increasing operating time.
Downloads
Product Note
Product Change Notification Hexapod Cables
Product Change Notification Motor Driven Products
Product Change Notification H-811 Series
Product Change Notification H-811 Vent Holes
Product Change Notification H-811.D2, H-811.D11, H-811.D12
Datasheet
Documentation
User Manual MS235
H-811 Miniature Hexapods
Technical Note H811T0001
Technical note for unpacking the hexapod
3D Models
H-811.I2 3D Model
Software Files
PIVirtualMove
Ask for a free quote on quantities required, prices, and lead times or describe your desired modification.
Come Ricevere un’Offerta
Chiedi ad un Ingegnere!
Ricevere rapidamente una risposta alla tua risposta via email o telefono da un Sales Engineer dalla sede PI più vicina a te.
Tecnologia

Allineamento Attivo
In molti settori sta crescendo la necessità di allineare dispositivi con una accuratezza su scala nanometrica. Componenti ottici quali lenti o insiemi di lenti in piccole fotocamere, o anche il chip CCD stesso, devono essere posizionati con sempre maggiore precisione.

Connettività Ethercat dei Prodotti PI
PI offre dispositive ad alta precisione da utilizzare come slave EtherCAT, per l’integrazione con i Motion Controller di ACS, o quali Master o 2° Master nelle configurazioni esistenti.

Posizionatori Multi-Asse
Le piattaforme Hexapod vengono utilizzate per il posizionamento e l'allineamento di precisione di carichi in tutti i sei gradi di libertà. tre assi lineari, e tre assi di rotazione.
Applicazioni

Packaging nel campo della Fotonica
L'assemblaggio e il packaging dei dispositivi fotonici richiedono sistemi di produzione altamente efficienti. L'allineamento è uno dei maggiori fattori di costo nella produzione di questi componenti, poiché viene ripetuto più volte nel processo di produzione. La rivoluzionaria tecnologia Fast Alignment di PI è stata ineguagliabile in queste sfide.

Regolazione del Campione
Alla Diamond Light Source, nel Regno Unito, la beamline I07 è una linea di diffrazione di raggi X ad alta risoluzione dedicata allo studio della struttura delle superfici e delle interfacce.

Posizionamento in Alto Vuoto
Indagine sulle proprietà strutturali dei film sottili in condizioni di alto vuoto.

Nanotomografia
Presso la fonte di luce a raggi X PETRA III al centro di ricerca DESY di Amburgo opera la Imaging Beamline P05.

Sistemi Hexapod nell'Automazione
Gli Hexapod permettono una eccellente flessibilità per una varietà di campioni dei sistemi di automazione in linea riducendo al minimo lo spazio per la robotica di movimento.

Hexapods nella Microproduzione
Cosa hanno in comune componenti ottici e fibre di vetro nella fotonica nei dispositivi mobili e negli orologi da polso di alta qualità?























