E-413.2 - E-413.6 Multi-Channel Piezo Amplifier
For Piezo Tubes and PICA Shear Actuators
- Low-noise piezo amplifier
- Peak power up to 50 W
- Bipolar operation
- Output voltage -250 to 250 V
- Ideally adapted for scanner tubes
- Output voltage monitoring
Piezo tube ("scanner tube") control
Depending on the version, the E-413 amplifier can control a piezo tube in two or three directions of motion. The possible directions of motion of a piezo tube depend on the number of its electrode segments.
Control of up to six piezo actuators
The amplifier is also available as a version for controlling up to six individual piezo actuators with bipolar operating voltage such as PICA Shear or Picoactuator®.
Voltage range and control signal
Low noise and precision in static and dynamic operation. Peak currents up to 100 mA per channel at -250 to +250 V. Output voltage control via analog input signal -10 to +10 V with gain value of 25. Control signal generation possible with PC via D/A converter and PI driver set for use with NI LabVIEW software.
Interfaces
Control signals, monitor signals: SMB. Voltage outputs: D-sub 15 (f)
Scope of delivery
Delivery includes 24 V wide input range power supply.
Specifications
Specifications
Amplifier | E-413.30 / .20 | E-413.61 / .41 |
|---|---|---|
Input voltage range | -10 to 10 V | -10 to 10 V |
Output voltage | -250 to 250 V Inverted output: 250 to -250 V | -250 to 250 V |
Output voltage monitoring | -2.5 to 2.5 V Inverted output: 2.5 to -2.5 V | -2.5 to 2.5 V |
Peak output power/output (<1 ms) | 50 W | 50 W |
Average output power/output | >10 W | >10 W |
Peak current/output (<1 ms) | 100 mA | 100 mA |
Average output current/output | >20 mA | >20 mA |
Current limitation | Short-circuit proof | Short-circuit proof |
Voltage gain | 25 ±0.1 Inverted output: -25 ±0.1 | 25 ±0.1 |
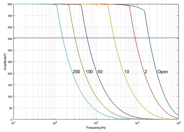
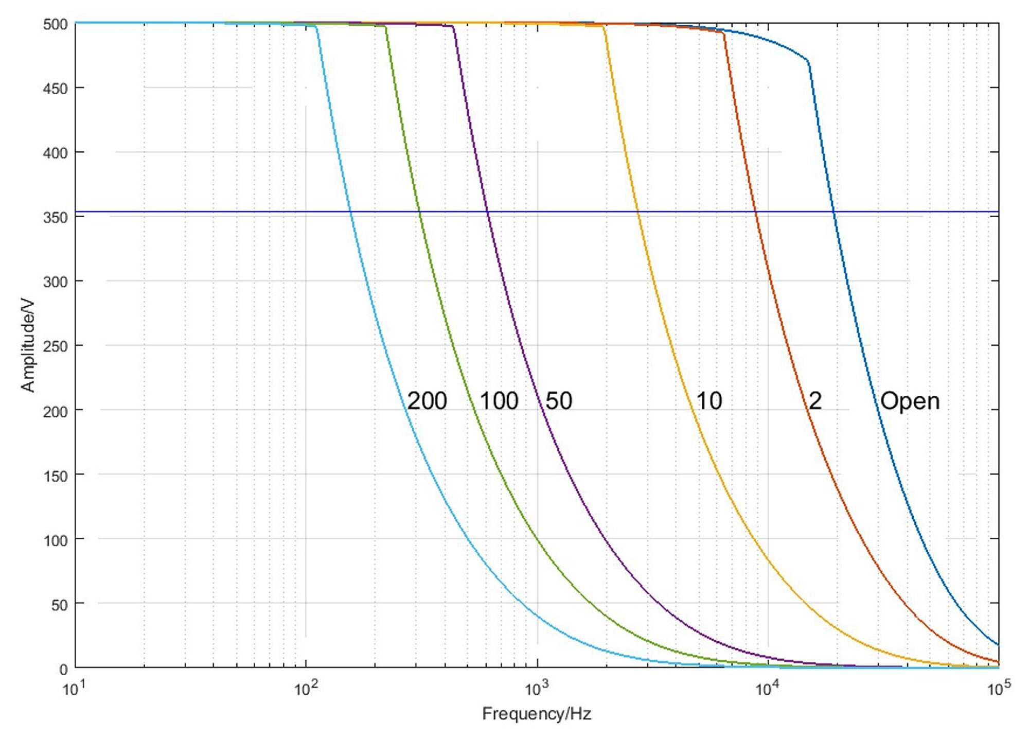
Bandwidth, small signal | ≥20 kHz | ≥20 kHz |
Ripple, noise, 0 to 10 kHz | <1 mVrms 5 mVpp <200 µVrms at <10 kHz bandwidth, 100 nF actuator load at the output | <1 mVrms 5 mVpp <200 µVrms at <10 kHz bandwidth, 100 nF actuator load at the output |
Capacitive base load (internal) | 2 nF | 2 nF |
Sensible external actuator capacity | >2 nF | >2 nF |
Output impedance | 1 kΩ, 2 nF | 1 kΩ, 2 nF |
Input impedance | 100 kΩ | 100 kΩ |
Downloads
Datasheet
Documentation
User Manual PZ296
E-413.30, .20, .6x, .4x Piezo Amplifier
Quote / Order
Ask for a free quote on quantities required, prices, and lead times or describe your desired modification.
Accessories
Come Ricevere un’Offerta
Chiedi ad un Ingegnere!
Ricevere rapidamente una risposta alla tua risposta via email o telefono da un Sales Engineer dalla sede PI più vicina a te.










